Công Thức Đạo Hàm: Tổng Hợp Đầy Đủ, Dễ Nhớ Và Dễ Áp Dụng

công thức đạo hàm

Tháng một 5, 2026 - 08:44
Tháng một 7, 2026 - 08:14
 0
Công Thức Đạo Hàm: Tổng Hợp Đầy Đủ, Dễ Nhớ Và Dễ Áp Dụng
công thức đạo hàm
  • Lời nói đầu

    Trong chương trình Toán học phổ thông, đặc biệt là Toán lớp 11 và 12, công thức đạo hàm là một trong những phần kiến thức quan trọng nhất. Không chỉ xuất hiện dày đặc trong đề kiểm tra, đề thi tốt nghiệp THPT, mà công thức đạo hàm còn là nền tảng cho nhiều chủ đề nâng cao như khảo sát hàm số, cực trị, đồ thị và ứng dụng thực tế.

    Vậy công thức đạo hàm là gì, gồm những dạng nào, làm sao để ghi nhớ và áp dụng hiệu quả? Bài viết này sẽ giúp bạn hệ thống đầy đủ – dễ hiểu – dễ học nhất toàn bộ nội dung liên quan đến đạo hàm.
     

  • Đạo Hàm Là Gì? Hiểu Đúng Trước Khi Học Công Thức

    Trước khi đi sâu vào công thức đạo hàm, ta cần hiểu rõ khái niệm đạo hàm.

    Đạo hàm của một hàm số tại một điểm thể hiện tốc độ thay đổi của hàm số tại điểm đó.

    Nói cách khác, đạo hàm cho biết:

    • Hàm số đang tăng hay giảm

    • Độ dốc của tiếp tuyến tại một điểm

    • Mức độ biến thiên của đại lượng

    Chính vì vậy, công thức đạo hàm đóng vai trò như “chìa khóa” để giải quyết rất nhiều bài toán khác nhau.
     

  • Vì Sao Cần Nắm Vững Công Thức Đạo Hàm?

    Rất nhiều học sinh gặp khó khăn trong Toán học chỉ vì không thuộc hoặc không hiểu công thức đạo hàm. Việc nắm
    chắc các công thức mang lại nhiều lợi ích:

    • Giải nhanh bài tập trắc nghiệm

    • Tránh nhầm lẫn khi tính toán

    • Dễ dàng học các phần nâng cao

    • Áp dụng tốt trong Vật lý, Kinh tế, Kỹ thuật

    Có thể nói, công thức đạo hàm là nền tảng không thể thiếu nếu muốn học tốt giải tích.
     

  • Công Thức Đạo Hàm Cơ Bản Cần Nhớ

    Đây là nhóm công thức đạo hàm quan trọng nhất, bắt buộc phải ghi nhớ.

    1. Đạo Hàm Của Hằng Số

    • Nếu y=cy = cy=c (c là hằng số)
       👉 y′=0y' = 0y′=0

    2. Đạo Hàm Của Hàm Lũy Thừa

    • Nếu y=xny = x^ny=xn
      y′=n⋅xn−1y' = n \cdot x^{n-1}y′=n⋅xn−1

    Ví dụ:

    • (x2)′=2x(x^2)' = 2x(x2)′=2x

    • (x3)′=3x2(x^3)' = 3x^2(x3)′=3x2

    Đây là công thức đạo hàm xuất hiện nhiều nhất trong đề thi.
     

  • Công Thức Đạo Hàm Của Tổng, Hiệu, Hằng Số Nhân

    1. Tổng và Hiệu

    • (u+v)′=u′+v′(u + v)' = u' + v'(u+v)′=u′+v′

    • (u−v)′=u′−v′(u - v)' = u' - v'(u−v)′=u′−v′

    2. Hằng Số Nhân

    • (k⋅u)′=k⋅u′(k \cdot u)' = k \cdot u'(k⋅u)′=k⋅u′

    Nhóm công thức đạo hàm này giúp rút gọn bài toán phức tạp thành các phần nhỏ hơn.
     

  • Công Thức Đạo Hàm Của Hàm Phân Thức

    Nếu:

    y=uvy = \frac{u}{v}y=vu​

    Thì:

    y′=u′v−uv′v2y' = \frac{u'v - uv'}{v^2}y′=v2u′v−uv′​

    👉 Đây là công thức đạo hàm dễ nhầm dấu nhất, học sinh cần đặc biệt cẩn thận.
     

  • Công Thức Đạo Hàm Của Hàm Hợp

    Hàm hợp có dạng:

    y=f(g(x))y = f(g(x))y=f(g(x))

    Khi đó:

    y′=f′(g(x))⋅g′(x)y' = f'(g(x)) \cdot g'(x)y′=f′(g(x))⋅g′(x)

    Công thức này thường được gọi là quy tắc dây chuyền – một trong những công thức đạo hàm quan trọng nhất ở mức nâng cao.
     

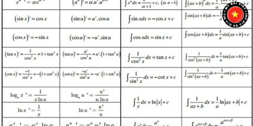
  • Công Thức Đạo Hàm Của Hàm Lượng Giác

    Công Thức Đạo Hàm Của Hàm Lượng Giác
    công thức đạo hàm

    Đây là phần khiến nhiều học sinh “sợ”, nhưng nếu học đúng cách thì rất dễ nhớ.

    • (sin⁡x)′=cos⁡x(\sin x)' = \cos x(sinx)′=cosx

    • (cos⁡x)′=−sin⁡x(\cos x)' = -\sin x(cosx)′=−sinx

    • (tan⁡x)′=1cos⁡2x(\tan x)' = \frac{1}{\cos^2 x}(tanx)′=cos2x1​

    • (cot⁡x)′=−1sin⁡2x(\cot x)' = -\frac{1}{\sin^2 x}(cotx)′=−sin2x1​

    👉 Nhóm công thức đạo hàm này xuất hiện rất nhiều trong bài khảo sát hàm số.
     

  • Công Thức Đạo Hàm Của Hàm Mũ

    • (ex)′=ex(e^x)' = e^x(ex)′=ex

    • (ax)′=axln⁡a(a^x)' = a^x \ln a(ax)′=axlna (với a>0,a≠1a > 0, a \ne 1a>0,a=1)

    Đây là nhóm công thức đạo hàm vừa gọn vừa “đẹp”, thường được dùng trong bài toán tăng trưởng.
     

  • Công Thức Đạo Hàm Của Hàm Logarit

    • (ln⁡x)′=1x(\ln x)' = \frac{1}{x}(lnx)′=x1​

    • (log⁡ax)′=1xln⁡a(\log_a x)' = \frac{1}{x \ln a}(loga​x)′=xlna1​

    Kết hợp với quy tắc hàm hợp, các công thức đạo hàm logarit có thể xử lý rất nhiều dạng bài khó.
     

  • Bảng Tổng Hợp Công Thức Đạo Hàm Cần Thuộc

    Học sinh nên tự lập bảng tổng hợp công thức đạo hàm gồm:

    • Hàm cơ bản

    • Hàm lượng giác

    • Hàm mũ – logarit

    • Quy tắc đạo hàm

    Việc hệ thống hóa giúp ghi nhớ lâu hơn và tránh nhầm lẫn.
     

  • Cách Ghi Nhớ Công Thức Đạo Hàm Hiệu Quả

    1. Hiểu bản chất, không học vẹt

    Khi hiểu vì sao có công thức đạo hàm, bạn sẽ nhớ lâu hơn.

    2. Học theo nhóm

    Chia công thức theo từng loại hàm.

    3. Luyện tập thường xuyên

    Làm bài tập là cách ghi nhớ tốt nhất.

    4. So sánh – đối chiếu

    Ví dụ: sin → cos, cos → -sin.
     

  • Những Lỗi Sai Thường Gặp Khi Áp Dụng Công Thức Đạo Hàm

    • Quên đạo hàm hàm bên trong

    • Sai dấu “–”

    • Nhầm công thức phân thức

    • Áp dụng sai quy tắc hàm hợp

    Nhận diện lỗi giúp bạn sử dụng công thức đạo hàm chính xác hơn.
     

  • Ứng Dụng Của Công Thức Đạo Hàm Trong Thực Tế

    Không chỉ trong Toán học, công thức đạo hàm còn được ứng dụng trong:

    • Vật lý (vận tốc, gia tốc)

    • Kinh tế (tối ưu lợi nhuận)

    • Kỹ thuật (tốc độ thay đổi)

    • Công nghệ (machine learning, AI)
       

  • Công Thức Đạo Hàm Trong Đề Thi THPT Quốc Gia

    Trong đề thi:

    • Chủ yếu là đạo hàm cơ bản và hàm hợp

    • Ít đánh đố, tập trung vào kỹ năng

    • Ai nắm chắc công thức đạo hàm sẽ làm nhanh hơn
       

  • Kết Luận

    Công thức đạo hàm là phần kiến thức cốt lõi của giải tích, đóng vai trò quan trọng trong học tập và thi cử. Việc hiểu rõ bản chất, ghi nhớ có hệ thống và luyện tập thường xuyên sẽ giúp bạn làm chủ phần này một cách dễ dàng.

    Chỉ cần nắm vững công thức đạo hàm, bạn đã đi được hơn một nửa chặng đường trong chương trình Toán THPT.

Phản ứng của bạn thế nào?

Giống Giống 0
Không thích Không thích 0
Yêu Yêu 0
Buồn cười Buồn cười 0
Tức giận Tức giận 0
Buồn Buồn 0
chó tru chó tru 0